Image description

‘দুষ্কৃতকারীদের’ তালিকা বিকালে গণবিজ্ঞপ্তি আকারে জারির আট ঘণ্টা পর মধ্যরাতে একজন বিএনপি নেতার নাম বাদ দিয়ে সংশোধনী দিয়েছে চট্টগ্রাম মহানগর পুলিশ (সিএমপি)। তবে আগের তালিকা থেকে বাদ দেওয়া হয়নি প্রয়াত আরেক ব্যক্তির নাম।

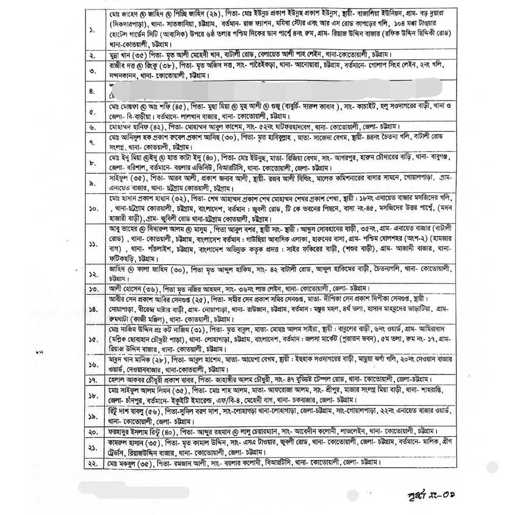
শনিবার রাত সাড়ে ১২টার দিকে পুলিশের পক্ষ থেকে ৩৩০ জনের কথিত ‘দুষ্কৃতকারীর’ তালিকায় মুছে দেওয়া হয় চট্টগ্রাম নগর বিএনপির যুগ্ম আহ্বায়ক শওকত আজম খাজার নাম।

তবে তার নাম বাদ দেওয়ার কোনো কারণ বলা হয়নি।

গণ বিজ্ঞপ্তির সঙ্গে সংযুক্ত ‘দুষ্কৃতকারীর’ তালিকার প্রথম পাতার ৪ নম্বরে থাকা শওকত আজম খাজার নাম মুছে দিয়ে সংশোধনী বিজ্ঞপ্তি সাংবাদিকদের কাছে সিএমপির জনসংযোগ বিভাগ থেকে পাঠানো হয়।

এদিকে প্রকাশিত তালিকায় অন্য কোনো বিএনপি, যুবদল বা ছাত্রদলের কারো নাম কাটা হয়নি। এমনকি তালিকায় থাকা প্রয়াত কাউন্সিলর আতাউল্লার নামও রয়ে গেছে।

এদিন বিকালে সিএমপি ৩৩০ ব্যক্তিকে ‘দুষ্কৃতকারী’ হিসেবে চিহ্নিত করে তাদেরকে নগরীতে প্রবেশ ও অবস্থানে নিষেধাজ্ঞা আরোপ করে গণবিজ্ঞপ্তি জারি করে।

৩৩০ জনের এ তালিকায় পেশাদার অপরাধী ও পুলিশের তালিকায় থাকা সন্ত্রাসীদের পাশাপাশি আওয়ামী লীগের নেতা, ক্ষমতাচ্যুত সরকারের মন্ত্রী, সাবেক সংসদ সদস্য ও মেয়র এবং ইসকনের চিন্ময় কৃষ্ণের নামও দেওয়া হয়।

 

 

তালিকায় চার নম্বরে ছিল চট্টগ্রাম নগর বিএনপির যুগ্ম আহ্বায়ক শওকতের নাম।

বিজ্ঞপ্তি জারির কিছু সময় পর তিনি বিডিনিউজ টোয়েন্টিফোর ডটকমকে বলেছিলেন, বিষয়টি তার জন্য 'বিব্রতকর'।

তিনি জানিয়েছিলেন, তালিকায় বিএনপি যুবদল, ছাত্রদলসহ ১২ জনের নাম আছে।

বিএনপি নেতা শওকত তখন বলেন, “নামটা কেন আছে বুঝলাম না। আমাদের নেতৃবৃন্দরা কালকে কমিশনারের সাথে দেখা করবেন। কোন মানদণ্ডে নামগুলো এসেছে, বিষয়গুলো জানার চেষ্টা করব।”

মধ্যরাতে তার নাম বাদ দেওয়ার বিষয়ে সিএমপির বক্তব্য জানার চেষ্টা করছে বিডিনিউজ টোয়েন্টিফোর ডট্কম।